新乡市中鑫封头制造有限公司为您免费提供锥体形封头,不锈钢收口封头,大型分瓣封头等相关信息发布和资讯展示,敬请关注!

新乡市中鑫封头制造有限公司

咨询热线
18613741319

联系我们
联系我们

新乡市中鑫封头制造有限公司

电话:0373-7595969

手机:18613741319

邮箱:

地址:新乡市平原新区马井开发区

产品详情 product details 网站首页 > 产品中心 > 河北封头厂家

河北河南封头

河北河南封头

河南河北封头是锅炉等压力容器的一个部件,也应用在管道封堵方面,新乡市中鑫封头生产的封头有不锈钢、碳钢、钛、铝材质等多种材质的河北椭圆封头河北锥形封头河北球形封头河北半球型封头等等。

河北河南封头标准——压力容器封头:

GB/T25198-2010 GB/T12459-2005 GB/T13401-2005 SH3408-1996 SH3409-1996 D-GD87-0607 DL/T695-1999

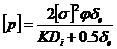
河南封头之河北椭圆封头:组成部分:半椭球和高度为H的短圆筒,大工作压力计算方法如下:

河南封头

椭圆封头应用:1.作为管道末端封口使用;2.作为压力容器罐子用。

河南封头之半河北球形封头——组成部分:半个球壳,应用介质:液体、气体以及气液混合蒸汽等。

河南封头之河北锥形封头——分为无折边和折边两种,应用:在航空航天以及医药化工、钢铁锅炉容器等行业都有应用。

河南河北封头厂家——新乡市中鑫封头制造有限公司常年生产制造多种规格型号的封头,欢迎广大新老客户前来洽谈合作!

相关标签: 封头厂家,河南封头,河南封头厂家
发布时间:2021-11-13
Copyright © 新乡市中鑫封头制造有限公司 锥体形封头哪家好?不锈钢收口封头报价是多少?大型分瓣封头质量怎么样?新乡市中鑫封头制造有限公司专门承接锥体形封头的生产与加工,欢迎致电咨询.
地址:新乡市平原新区马井开发区  服务热线:18613741319 0373-7595969
严禁转载或镜像,违者必究! 豫ICP备2021034535号-1